Covid19

Covid 19 Risk Index Graphic

Researchers Devise New Model To Track Covid 19 S Spread
medicalxpress.com

Global Shutdown Visualizing Commuter Activity In The World S Cities
www.visualcapitalist.com

We Need Class Race And Gender Sensitive Policies To Fight The Covid 19 Crisis Multiplier Effect
multiplier-effect.org

Clarify Health Launches Two Analytics Applications For Healthcare Organizations To Rapidly Respond To Covid 19 Specific Resource Planning And Patient Triaging Business Wire
www.businesswire.com

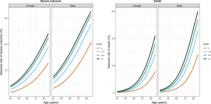
Charlson Comorbidity Index Score And Risk Of Severe Outcome And Death In Danish Covid 19 Patients Springerlink
link.springer.com

Covid 19 Resurgence Risk And Social Distancing Projections
www.cerner.com

High Covid 19 Mortality Risk In Pennsylvania S Rural Counties Lerner Center For Public Health Promotion Syracuse University
lernercenter.syr.edu

Https Www Un Org Pga 74 Wp Content Uploads Sites 99 2020 03 Covid 19 Letter To Member States Pdf

Where Chronic Health Conditions And Coronavirus Could Collide The New York Times
www.nytimes.com

New York Times Features Policymap Index Policymap
www.policymap.com

Visualizing The Occupations With The Highest Covid 19 Risk
www.visualcapitalist.com

Ranked Global Pandemic Preparedness By Country
www.visualcapitalist.com

Quality Of Oecd Countries Response To The Pandemic Economist Intelligence Unit
www.eiu.com

Wondering Which Activities Are Riskiest During The Pandemic Experts Weigh In
wbng.com

City Residents Urged To Get Covid 19 Test Remain Vigilant With Masks Social Distancing Manchester Ink Link
manchesterinklink.com

Aa6v9vsvekrpm

Clinical Course And Risk Factors For Mortality Of Adult Inpatients With Covid 19 In Wuhan China A Retrospective Cohort Study The Lancet
www.thelancet.com

Coronavirus Risk Viral Graphic Shows Danger Of Restaurants Groceries Parties And More But Is It True Abc7 San Francisco
abc7news.com

Coronavirus What Is The Risk To Men Over 50 Bbc News
www.bbc.com

Chart How To Decide When To Go Out During Coronavirus Pandemic Business Insider
www.businessinsider.com

Will I Get Covid 19 Doing This Here S How Risky Normal Activities Are Keye
cbsaustin.com

Ranked Global Pandemic Preparedness By Country
www.visualcapitalist.com

Pulmcrit Theoretical Post The Covid Severity Index Csi 1 0
emcrit.org

A Country Level Analysis Measuring The Impact Of Government Actions Country Preparedness And Socioeconomic Factors On Covid 19 Mortality And Related Health Outcomes Eclinicalmedicine
www.thelancet.com

Covid 19 Workers S Exposure To Risk And The Lockdown Vox Cepr Policy Portal
voxeu.org

Visualizing The Occupations With The Highest Covid 19 Risk
www.visualcapitalist.com

High Sars Cov 2 Attack Rate Following Exposure At A Choir Practice Skagit County Washington March 2020 Mmwr
www.cdc.gov

Carrot Health Health Tech Responds To Covid 19
www.covid19healthtech.com

Public Health Guidance For Reopening Alabama Department Of Public Health Adph
www.alabamapublichealth.gov

Graph Provides Risk Index For School Activities During Covid 19 Pandemic Youtube
www.youtube.com

Pulmcrit Theoretical Post The Covid Severity Index Csi 1 0
emcrit.org

City Residents Urged To Get Covid 19 Test Remain Vigilant With Masks Social Distancing Manchester Ink Link
manchesterinklink.com

Forrester Covid 19 Analysis Insights Ex Risk Tech And More
go.forrester.com

Coronavirus Class Divide The Jobs Most At Risk Of Contracting And Dying From Covid 19
theconversation.com

Does Ibuprofen Increase Risk Of Contracting Serious Case Of Coronavirus Covid
www.clickondetroit.com

Covid 19 In Africa Global Solidarity Critical To Avert Economic Humanitarian Crisis Ocha
www.unocha.org

Ezekiel Emanuel Covid 19 Activity Risk Levels
www.ezekielemanuel.com

Coronavirus Risk Viral Graphic Shows Danger Of Restaurants Groceries Parties And More But Is It True Abc7 San Francisco
abc7news.com

2

New Purdue Food And Agriculture Vulnerability Index Shows Potential Supply Risk Due To Covid 19 Worker Illnesses Cottrill Research Llc
www.cottrillresearch.com

The Emsi Health Risk Index Emsi
www.economicmodeling.com

Acp Risk Grade A Simple Mortality Index For Patients With Confirmed Or Sus Evidencio
www.evidencio.com

Coronavirus Covid 19 Campus Health
health.arizona.edu

How Covid 19 Has Impacted Media Consumption By Generation
www.visualcapitalist.com

Coronavirus Learning Loss Risk Index Reveals Big Equity Problems
www.edweek.org

Inform Index 2020
ifrcgo.org

Coronavirus Class Divide The Jobs Most At Risk Of Contracting And Dying From Covid 19
theconversation.com

Olx3aejdhlosum

Blog Emsi
www.economicmodeling.com

The Workers Who Face The Greatest Coronavirus Risk The New York Times
www.nytimes.com

Https Www Medrxiv Org Content 10 1101 2020 07 11 20151464v1 Full Pdf

Will I Get Covid 19 Doing This Here S How Risky Normal Activities Are Keye
cbsaustin.com

Idc Coronavirus Covid 19 Home
www.idc.com

Wondering Which Activities Are Riskiest During The Pandemic Experts Weigh In
wbng.com

Douglas Co Government News Via Flashalert Net
flashalert.net

Covid 19 Comprehensive Risk Index Orms Today News
pubsonline.informs.org

Will I Get Covid 19 Doing This Here S How Risky Normal Activities Are Keye
cbsaustin.com

Characteristics Of Health Care Personnel With Covid 19 United States February 12 April 9 2020 Mmwr
www.cdc.gov

Covid 19 In Mexico Democracy Is Not At Risk Just Security
www.justsecurity.org

Cv19 Lab Testing Dashboard Powered By Hc1 Expanded To Deliver Local Antibody Testing Insights And Risk Trending Biospace
www.biospace.com

Rural Ohio Faces High Health Risk During The Covid 19 Pandemic Lerner Center For Public Health Promotion Syracuse University
lernercenter.syr.edu

How The Coronavirus Recession Will Hurt Workers And Spike Unemployment Vox
www.vox.com

These Are The Jobs Most At Risk From Covid 19 Transmission World Economic Forum
www.weforum.org

Exploring Covid 19 Impact On Vulnerable Populations Using Infographics
www.esri.com

Https Www Un Org Pga 74 Wp Content Uploads Sites 99 2020 03 Covid 19 Letter To Member States Pdf

Https Encrypted Tbn0 Gstatic Com Images Q Tbn 3aand9gcqhfce Oo4nwpbdjfr0h Vi21iarnhwdgjgca Usqp Cau

Chart How To Decide When To Go Out During Coronavirus Pandemic Business Insider
www.businessinsider.com

Emsi County Health Risk Index Emsi
www.economicmodeling.com

Covid 19 Tracker American Enterprise Institute Aei
www.aei.org

How One Boston Hospital Built A Covid 19 Forecasting System
hbr.org

Covid 19 Risk Score To Predict Critical Illness Healthmanagement Org
healthmanagement.org

Will I Get Covid 19 Doing This Here S How Risky Normal Activities Are Keye
cbsaustin.com

Oii How Worried Are Businesses About Covid 19 A Novel Indicator Measures Industry Specific Risk Assessments In Times Of The Pandemic Oxford Internet Institute
www.oii.ox.ac.uk

Could Nutritional And Functional Status Serve As Prognostic Factors For Covid 19 In The Elderly Sciencedirect
www.sciencedirect.com

Coronavirus Disease 2019 Covid 19 Alabama Department Of Public Health Adph
www.alabamapublichealth.gov

Coronavirus Map Of Areas Most Vulnerable The Washington Post
www.washingtonpost.com

Zeke Emanuel Reopen Intelligently Reopen Safely
www.epatientdave.com

Where Chronic Health Conditions And Coronavirus Could Collide The New York Times
www.nytimes.com

Shortest Track Releases Free Ai Powered Covid Disruption Index And At Risk Business Forecasting Models
apnews.com

Safety And Health Topics Covid 19 Hazard Recognition Occupational Safety And Health Administration
www.osha.gov

News Or News2 Score When Assessing Possible Covid 19 Patients In Primary Care Cebm
www.cebm.net

Hurricanes And Wildfires Are Colliding With The Covid 19 Pandemic And Compounding The Risks
theconversation.com

To Navigate Risk In A Pandemic You Need A Color Coded Chart Wired
www.wired.com

La County Daily Covid 19 Data La County Department Of Public Health
publichealth.lacounty.gov

Veronica Taylor A Handy Risk Index To Help With Activity Decisions From Dr Ezekiel Emanuel Stay Safe Out There For More Info Go Here Http Www Ezekielemanuel Com Writing All Articles 2020 06 30 Covid 19 Activity Risk Levels Facebook
m.facebook.com

Preparedness And Vulnerability Of African Countries Against Importations Of Covid 19 A Modelling Study The Lancet
www.thelancet.com

Data In The Time Of Covid 19 Open Data Watch
opendatawatch.com

Graph Provides Risk Index For School Activities During Covid 19 Khou Com
www.khou.com

Map Shows How Drastically Covid 19 Risk Varies By Boston Neighborhood American Heart Association Eastern States
easternstates.heart.org

Chart How To Decide When To Go Out During Coronavirus Pandemic Business Insider
www.businessinsider.com

Deciding To Go Out Covid 19 Cdc
www.cdc.gov

Covid 19 Comprehensive Risk Index Orms Today News
pubsonline.informs.org

Larimer County S Covid 19 Count Passes 700 Loveland Reporter Herald
www.reporterherald.com

The Stock Market And The Economy Insights From The Covid 19 Crisis Vox Cepr Policy Portal
voxeu.org

Emsi County Health Risk Index Emsi
www.economicmodeling.com

Coronavirus Class Divide The Jobs Most At Risk Of Contracting And Dying From Covid 19
theconversation.com

Covid 19 Risk Assessment Tool Dual Application Of Risk Communication And Risk Governance Sciencedirect
www.sciencedirect.com

Visualizing The Occupations With The Highest Covid 19 Risk
www.visualcapitalist.com

Resocialization Of Collegiate Sport Developing Standards For Practice And Competition Ncaa Org The Official Site Of The Ncaa
www.ncaa.org

Covid 19 Activity Risk Index Infographic The School District Of Palm Beach County
www.palmbeachschools.org

close