Covid19

Covid 19 Verordnung 2 Schweiz

Sustainability Free Full Text Transition Of The Swiss Phosphorus System Towards A Circular Economy Part 2 Socio Technical Scenarios Html
www.mdpi.com

Https Www Economiesuisse Ch Sites Default Files Articles Downloads Coronavirus Rechtliche 20auswirkungen 200622 Pdf

Https Www Newsd Admin Ch Newsd Message Attachments 60681 Pdf

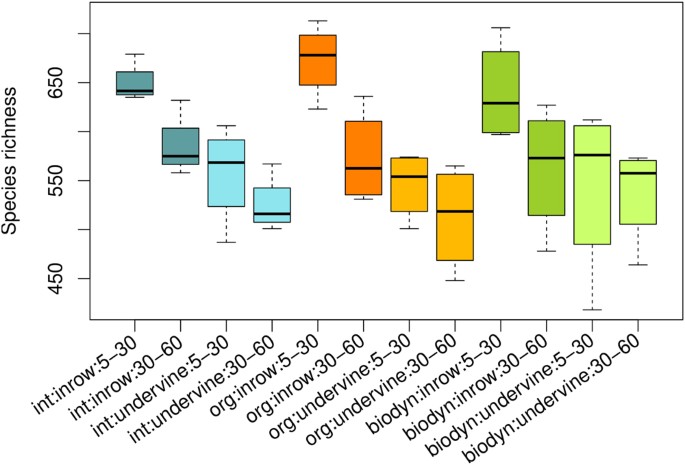
Effects Of Different Management Regimes On Microbial Biodiversity In Vineyard Soils Scientific Reports
www.nature.com

Coronavirus Faq Fur Die Arbeitswelt Syndicom Gewerkschaft Medien Und Kommunikation
syndicom.ch

Hotel Guest Facing Mobile App Voyager Protel
www.protel.net

Corona Und Eigentum Wichtige Fragen Und Antworten Hev Schweiz
www.hev-schweiz.ch

Vulnerability And Exposure To Geomorphic Hazards Some Insights From The European Alps Springerlink
link.springer.com

Wirtschaftliche Folgen Des Coronavirus Wuest Partner Blog
blog.wuestpartner.com

Roche Generalversammlung 2020 Swiss Stock Exchange Ro
www.globenewswire.com

Wichtige Informationen
www.avkz.ch

Coronavirus Fragen Und Antworten Www Ch Ch
www.ch.ch

Chirosuisse Corona
www.chirosuisse.ch

Sustainability Free Full Text Transition Of The Swiss Phosphorus System Towards A Circular Economy Part 2 Socio Technical Scenarios Html
www.mdpi.com

Sustainability Free Full Text Transition Of The Swiss Phosphorus System Towards A Circular Economy Part 1 Current State And Historical Developments Html
www.mdpi.com

Massnahmen Und Verordnungen
www.bag.admin.ch

Coronavirus Und Rechtliche Auswirkungen Auf Den Arbeitsplatz
www.sko.ch

Corona Unsere Plattform Fur Unternehmen Ruz Raiffeisen Unternehmerzentrum
www.ruz.ch

Covid 19 Pandemic In Europe Wikipedia
en.wikipedia.org

Https Www Kibesuisse Ch Fileadmin Dateiablage Kibesuisse Dokumente Corona 200324 Kibesuisse Forderungen Kantonsregierungen Pdf

Corona Unsere Plattform Fur Unternehmen Ruz Raiffeisen Unternehmerzentrum
www.ruz.ch

2

Wirtschaftliche Folgen Des Coronavirus Wuest Partner Blog
blog.wuestpartner.com

Gesundheitsrecht Auslander Und Asylrecht Reiserecht Wirtschaft Coronavirus Covid 19 Schweiz Dehnt Grenzkontrollen Auf Alle Schengen Staaten Aus Coronavirus Covid 19 Grenzkontrollen Schengen Staaten Auslander Und Asylrecht
www.law-news.ch

Use Of Simulation Based Medical Training In Swiss Pediatric Hospitals A National Survey Springerlink
link.springer.com

Https Backtowork Easygov Swiss Wp Content Uploads 2020 05 Schutzkonzept Pencak Silat Verband Psvs De Pdf

Differentiated Carbon Prices And The Economic Cost Of Decarbonization Springerlink
link.springer.com

Oxabiol Naturlicher Oxidationsschutz Brenntag
www.brenntag.com

Massnahmen Zur Bekampfung Von Covid 19 In Der Schweiz First Responder
www.first-responder.ch

Resources Free Full Text Historical Penetration Patterns Of Automobile Electronic Control Systems And Implications For Critical Raw Materials Recycling Html
www.mdpi.com

Https Nvs Swiss Dienstleistungen Aktuell Neues Coronavirus 2020

Sustainability Free Full Text Transition Of The Swiss Phosphorus System Towards A Circular Economy Part 1 Current State And Historical Developments Html
www.mdpi.com

Https Www Domat Ems Ch Fileadmin User Upload Customers Domat Ems Dokumente Gemeinde Domatems Verwaltung Gemeindekanzlei Schutzkonzept Non Food Pdf

Covid 19 Pandemie Alle Reha Kliniken Der Schweiz
stadtlandreha.ch

Corona Newsticker Das Neuste Zum Coronavirus Und Covid 19
www.tagblatt.ch

Schutzkonzepte Covid 19 Schweizer Verband Kommunale Infrastruktur Svki
kommunale-infrastruktur.ch

Trench Warfare Of Mindsets In Switzerland S Approach To The Covid 19 Pandemic Medical Anthropology At Ucl
medanthucl.com

Info Covid 19 Schutzkonzept Fernuni Ch
fernuni.ch

Covid 19 Pandemic In Switzerland Wikipedia
en.wikipedia.org

Https Static Homepagetool Ch Var M 0 08 089 23159 10454567 Schutzkonzept Covid 19 F C3 Bcr Spielgruppen C20ad Pdf

Swiss Sailing Coronavirus Gefordert Sind Solidaritat Und Eigenverantwortung
www.swiss-sailing.ch

Https Www Admin Ch Opc De Official Compilation 2020 2195 Pdf

Https Www Admin Ch Opc De Official Compilation 2020 573 Pdf

Kommt Eine Corona Impfpflicht In Der Schweiz Ptaheute
www.ptaheute.de

Die Arbeitgeber Zum Coronavirus Schweizerischer Arbeitgeberverband
www.arbeitgeber.ch

2

Https Www Lauxlawyers Ch Art 6a Covid 19 Verordnung

Europe S Covid 19 Outliers German Austrian And Swiss Policy Responses During The Early Stages Of The 2020 Pandemic Sciencedirect
www.sciencedirect.com

News Der Autobranche Im Ticker Upsa Agvs Section Fribourg
www.upsa-fr.ch

Gesundheitsrecht Auslander Und Asylrecht Reiserecht Wirtschaft Coronavirus Covid 19 Schweiz Dehnt Grenzkontrollen Auf Alle Schengen Staaten Aus Coronavirus Covid 19 Grenzkontrollen Schengen Staaten Auslander Und Asylrecht
www.law-news.ch

File Corona Betreten Verboten Jpg Wikimedia Commons
commons.wikimedia.org

Covid 19 Schweizer Bergfuhrerverband Sbv Asgm
sbv-asgm.ch

Http Www Akademien Schweiz Ch Dms D Aktuell News 200605 Schutzkonzept Rahmenbedingungen Inhalte Pdf

Covid 19 Pandemic In Switzerland Wikipedia
en.wikipedia.org

2

Https Www Bag Admin Ch Dam Bag De Dokumente Mt K Und I Aktuelle Ausbrueche Pandemien 2019 Ncov Covid 19 Erlaeuterungen Aenderungsmodus Pdf Download Pdf Erlaeuterungen Covid 19 Verordnung 2 Aenderungsmodus Pdf

Https Www Admin Ch Opc De Official Compilation 2020 1401 Pdf

Wttf1m4nueqjwm

Massnahmen Und Verordnungen
www.bag.admin.ch

Coronavirus Krankheit Covid 19 Pandemie
www.swissmedic.ch

2

Https Backtowork Easygov Swiss Wp Content Uploads 2020 05 Schutzkonzept Naturfreunde Schweiz De Pdf

Hotel Billing And Invoicing Management System Protel
www.protel.net

Hotel Pms Cloud Vs On Premise Protel
www.protel.net

Https Www Bag Admin Ch Dam Bag De Dokumente Biomed Heilmittel Hcq Amb Covid Apr2020 Pdf Download Pdf Verschreibung 20und 20abgabe 20von 20plaquenil 20und 20hydroxychloroquin 20zentiva Pdf

Kanton Obwalden Online Dienste A Z
www.ow.ch

Http Www Mpv Ch Frontend Handler Document Php Id 1021 Type 42

Wichtige Informationen
www.avkz.ch

Verordnungen Anweisungen
www.magdeburg.de

Einladung Zum Webinar Generalversammlungen In Corona Zeiten Schweizeraktien Net
www.schweizeraktien.net

Huttelaw Ag Cham Switzerland Facebook
www.facebook.com

Global Protel News Protel
www.protel.net

Alles Zur Verordnung 2 Uber Massnahmen Zur Bekampfung Des Coronavirus Covid 19 Des Bundesrates Vom 13 Marz 2020 Lawstyle
lawstyle.ch

Coronavirus 27 03 20 Communiques Dokumente Schweizer Bischofskonferenz
www.bischoefe.ch

Schriftliche Gv Neuer Relevanter Artikel In Der Covid 19 Verordnung 2 Ab 27 April 2020
www.wbg-schweiz.ch

Https Www Ag Ch Media Kanton Aargau Themen 1 Coronavirus 1 Gemeinden 5 20200402 Ga Infoschreiben Sonderverordnung Pdf

Https Www Newsd Admin Ch Newsd Message Attachments 60655 Pdf

Corona Medix Schweiz
www.medix.ch

Covid 19 Pandemic In Europe Wikipedia
en.wikipedia.org

Finding Big Shots Small Area Mapping And Spatial Modelling Of Obesity Among Swiss Male Conscripts Abstract Europe Pmc
europepmc.org

Vulnerability And Exposure To Geomorphic Hazards Some Insights From The European Alps Springerlink
link.springer.com

Global Protel News Protel
www.protel.net

Kettiger Staatsrechtlich Problematische Covid 19 Verordnung Massn
jusletter.weblaw.ch

Gebaudetechnik Ch Gebaudetechnik Service In Corona Zeiten
www.gebaeudetechnik.ch

Covid 19 Pandemic In Europe Wikipedia
en.wikipedia.org

Pqalbq1fig62om

Https Backtowork Easygov Swiss Wp Content Uploads 2020 05 Schutzkonzept Kartfahren Schweiz De 1 Pdf

Hepatitis A In Switzerland An Analysis Of 29 Years Of Surveillance Data And Contemporary Challenges Sciencedirect
www.sciencedirect.com

Covid 19 Pandemic In Switzerland Wikipedia
en.wikipedia.org

Schriftliche Gv Neuer Relevanter Artikel In Der Covid 19 Verordnung 2 Ab 27 April 2020
www.wbg-schweiz.ch

Frontiers Extrapolating Antibiotic Sales To Number Of Treated Animals Treatments In Pigs And Calves In Switzerland 2011 2015 Veterinary Science
www.frontiersin.org

Corona Und Das Schweizer Autogewerbe Agvs Upsa
www.agvs-upsa.ch

Coronavirus Aktuelle Informationen Staat Freiburg
www.fr.ch

Covid 19 Pandemic In Europe Wikipedia
en.wikipedia.org

Covid 19 Pandemic In Switzerland Wikipedia
en.wikipedia.org

Coronavirus Protect Yourself And Others Downloads
foph-coronavirus.ch

Protel More Than Pms
www.protel.net

Effects Of Different Management Regimes On Microbial Biodiversity In Vineyard Soils Scientific Reports
www.nature.com

Coronavirus Dossier Sbvh Schweizerischer Berufsverband Fur Hypnosetherapie
sbvh.org

Https Www Admin Ch Opc De Classified Compilation 20201773 202007060000 818 101 24 Pdf

close