Covid19

Covid Qq

How To Start Homeschooling During Covid 19 Coalition For Responsible Home Education
responsiblehomeschooling.org

Officials Two More Test Positive For Covid 19 In Montclair Totaling Three Tapinto
www.tapinto.net

Covid 19 Cases Sink But Labor Day Weekend May Create Spike
www.the-daily-record.com

Measures Againt Covid 19
www.hospes.com

Hydroxychloroquine For Covid 19 Conclusions Of 3 New Meta Analyses By Shin Jie Yong Microbial Instincts Sep 2020 Medium
medium.com

Covid 19 Providing Employees And Customers Answers In A Time With So Many Questions Bold360 Blog
blog.bold360.com

Application Of Hierarchical Polynomial Regression Models To Predict Transmission Of Covid 19 At Global Level
clinmedjournals.org

Eu Pushes Covid 19 Marker To Track Donor Spending Devex
www.devex.com

Tasks And Competences Of Frontline Social Workers In Fighting The Covid 19 Pandemic Stories From Chengdu China International Association Of Schools Of Social Work Iassw
www.iassw-aiets.org

Coronavirus Live Updates India S Case Count Jumps By More Than 96 000 610 Kona
www.610kona.com

Covid 19 A Review Of Global Economic Impact Citi Wealth Insights
asia.citi.com

Murphy Area Govs Send Letter Asking Trump For 100b Tapinto
www.tapinto.net

Hospice Patient And Caregiver Safety During The Coronavirus Pandemic
www.compassus.com

Novel Coronavirus Information Center
www.elsevier.com

Oregon Teachers Want 14 Days Of No Covid Cases Before Reopening Kgw Com
www.kgw.com

Clinical Guidance On Covid 19 Digital Health
www.digital.health

Special Education Faces Additional Challenges With In Person Learning During Covid 19 Kunr
www.kunr.org

Amazon Com Panic At The Costco Toilet Paper Shortage 2020 Christmas Tree Ornament Covid 19 Coronavirus Corona Virus Handmade
www.amazon.com

Chicago Tonight Covid 19 Across Chicago Mckinley Park Season 2020 Pbs
www.pbs.org

La City Attorney On Twitter 10am Covid 19 Press Conference City Attorney Mike Feuer To Announce Settlement With Yikon Genomics Over Its Alleged At Home Test For Covid 19 Which The Fda Did Not Approve
twitter.com

Zj4g 9gvrm Bjm

Novel Coronavirus Information Center
www.elsevier.com

Four Lessons To Remember From Covid 19 Tapinto
www.tapinto.net

Today S Top Stories On The Covid 19 Pandemic World Economic Forum
www.weforum.org

Researchers Study Millions Of Social Media Posts Find Bogus Covid 19 Test Kits For Sale
www.pix11.com

Photos No Welcome Back Hugs Due To Covid 19 As Students Return To School In St Bernard Parish Photos Nola Com
www.nola.com

Horseshoe Crabs The Ingredient Still Key To Testing Vaccines World Economic Forum
www.weforum.org

Utah Covid 19 Community Task Force On Twitter Utah Has Ramped Up Its Resources And Testing Is Now More Available If You Have Symptoms Of Covid 19 Reach Out To Get Tested And Fight
twitter.com

Lloyd S Results Put It In Strong Position To Respond To Covid 19
www.intelligentinsurer.com

Statement On Covid 19 Outbreak Quantitative Aquatics Inc
www.q-quatics.org

9 Staff Members At Sussex County Senior Living Facility Test Covid 19 Positive Sussex Daily Voice
dailyvoice.com

Missing Family Supports East Coast Mothers Reflect On How Covid 19 Impacted Arrivals Of New Babies Regional Lifestyles Lifestyles Saltwire
www.saltwire.com

Covid 19 First Fines For Violating Ct Travel Advisory Issued Litchfield Daily Voice
dailyvoice.com

Zenoti Empowers Qq With Post Covid Touchless Technology Solutions
www.prweb.com

Https Www Ejradiology Com Article S0720 048x 20 30150 9 Pdf

Coronavirus The Danger Of Latex Gloves
theconversation.com

How Startups Should Adapt To Covid 19 By Andrew Chung The Startup Medium
medium.com

Asd Family Support Under Covid 19 Free Lecture Mind Body Garden Psychology
www.mindbodygarden.com

New Online Tool Helps Virginians Self Screen For Covid 19
www.wtkr.com

New Local Businesses Open Despite Covid 19 Uncertainty
www1.komu.com

Pdf Leukopenia Of Asymptomatic Covid 19 Infections Under 18 Years Old In Recovery Stage
www.researchgate.net

Rural California Tests Out In Person Classes Amid Covid 19 Los Angeles Times
www.latimes.com

The Effects Of Maine S Economic Societal Shutdown From Covid 19 The Maine Wire
www.themainewire.com

Many Emergency Orders To Fight Covid 19 Should Be Put Into Law For Good Mackinac Center
www.mackinac.org

Amazon Com Covid 19 La Malattia Da Nuovo Coronavirus Sars Cov 2 Italian Edition Ebook Nicoletta Scarpa Maria Rosa Valetto Donatella Sghedoni Kindle Store
www.amazon.com

Seattle Schools Equity Officer Covid 19 Has Really Forced Us To Live Out Our Values Here Now
www.wbur.org

Amazon Com Covid 19 Ebook Boris Kofler Gianluca Kofler Maya G G Kindle Store
www.amazon.com

Atrck9l4qk47qm

Covid 19 Reassessing Portfolio Allocation Citi Wealth Insights
asia.citi.com

There Are Good Reasons For Ontario Being Behind On Covid 19 Testing Thespec Com
www.thespec.com

Covid 19 Will Companies That Received State Aid During The Covid 19 Crisis Be Able To Distribute Dividends Or Repurchase Their Shares In 2020 Bignon
www.bignonlebray.com

How Covid 19 Could Lead To More Parts Made In Canada
canada.autonews.com

Https Www Ijidonline Com Article S1201 9712 20 30174 0 Pdf

Inspection Reports Show History Of Deficiencies At Nursing Homes Hit Hardest By Covid 19 Wral Com
www.wral.com

Google Maps Adds Covid 19 Alerts As More Cities Reopen
in.pcmag.com

Agency Revolution Is Dedicated To Supporting You Agency Revolution
www.agencyrevolution.com

Gender Equality Matters In Covid 19 Response Un Women Multi Country Office Caribbean
caribbean.unwomen.org

Https Www Ijidonline Com Article S1201 9712 20 30263 0 Pdf

Tencent Crushes First Quarter Earnings Despite Covid 19 Pandemic Barron S
www.barrons.com

Here S The Growing List Of N J Schools Switching To Remote Because Of Covid 19 Cases Nj Com
www.nj.com

Know The Symptoms By Un Sdg Strategy Hub
unitednations.talenthouse.com

Covid 19 Gives Kansas City S Student Teachers A Crash Course In How To Run Online Classrooms Kbia
www.kbia.org

Alert U S Becomes Nation With Most Covid 19 Cases In The World Americans For Medical Progress
www.amprogress.org

University Of Missouri School Of Medicine S Missouri Telehealth Network To Launch Covid 19 Echo Mu School Of Medicine
medicine.missouri.edu

How Covid 19 Has Advanced The Case For Procurement Reform Devex
www.devex.com

With Coronavirus Science Still Iffy U S Schools Hope To Reopen For 56 6 Million K 12 Students The Washington Post
www.washingtonpost.com

Pandemic Helps Iraq With Food Self Sufficiency Aw
thearabweekly.com

Covid 19 It S Time To Rethink Where How And Why We Work World Economic Forum
www.weforum.org

Factcheck Is Covid 19 Actually Pulmonary Thrombosis Infotagion
infotagion.com

Avera Hopes Telemedicine Helps Flatten The Covid 19 Curve The Mitchell Republic
www.mitchellrepublic.com

Coronavirus Themed Malware And Ransomware Ramp Up
cisomag.eccouncil.org

Coronavirus Covid 19 O Sars Cov 2 Lx Youtube
www.youtube.com

Covid 19 And School Closures What Can Countries Learn From Past Emergencies
www.brookings.edu

Murphy Covid 19 Measures On Decline All The Important Metrics We Needed To Fall Into Place Have Been Doing So Tapinto
www.tapinto.net

Alabama Prisons Employee Positive For Covid 19 Coronavirus Infection
www.montgomeryadvertiser.com

Coronavirus Us Allows Game Changer Emergency Use Of New Saliva Based Covid Test
www.ndtv.com

School Reopenings During The Covid Pandemic The Debate Explained Vox
www.vox.com

Covid 19 Vietnam S Consumer Changes And Retail Movements
www.kantar.com

Covid 19 Vaccine Trials Latest News Photos Videos On Covid 19 Vaccine Trials Ndtv Com
www.ndtv.com

Https Encrypted Tbn0 Gstatic Com Images Q Tbn 3aand9gcrvy40ttkpdj2up1snaefd4xtiiq Rqilk12q Usqp Cau

Chinese Social Media In The Age Of Covid 19 The Sais Observer
saisobserver.org

Covid 19 Latest Listing Of Ct Cases By Towns Cities Trumbull Monroe Daily Voice
dailyvoice.com

Google Search Console Reports On Covid 19 Special Announcement Schema
www.searchenginejournal.com

Wleuhsysgnpbkm

Daycare Centers During Covid What Preschool Looks Like In A Pandemic
www.usatoday.com

Covid 19 Testing Why Plumas County Is Outpacing Others In California
www.redding.com

In America S Second Home Communities Covid 19 Poses Special Concerns Now
www.americancommunities.org

Covid 19 Here Are Latest Positive Testing Percentages For Nassau Suffolk Nassau Daily Voice
dailyvoice.com

Alipay Maintains Dominance In China Over Tencent S Wechat Pay And Qq Wallet Fintech Hong Kong Wechat Training Institute Chinese Marketing Courses And Consultation
wechattraining.com

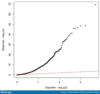
The Banana Peel Of Covid 19 Research
www.medscape.com

The Coronavirus Recession Could Become A Depression Vox
www.vox.com

Can We Track Covid 19 And Protect Our Privacy At The Same Time
www.thedenverchannel.com

Qq Antimicrobial Coating I Dig Hardware
idighardware.com

Research In The Time Of Covid 19 Discussion Uc Davis Humanities Institute
dhi.ucdavis.edu

Downtown Austin Alliance Covid 19 Construction Industry Updates
downtownaustin.com

Getting Ahead Of The Curve On Covid 19 By Code For Africa Code For Africa Medium
medium.com

Qq Downtown Mesa
www.downtownmesa.com

Apple Releases New Covid 19 App And Website Based On Cdc Guidance Apple
www.apple.com

Ce Ivd Qpcr Covid 19 Test In 2 Hours Kyvobio
www.kyvobio.com

Amnesty International Warns Us That More Covid 19 Cases Will Appear If Malaysia S Migrant Raids Continue Culture
sea.mashable.com

close