Covid19

Qld Covid 19 Cases By Postcode

Tableau Public
public.tableau.com

Coronavirus Australia Live Two New Cases In Nsw And Nt Linked To Victoria S Hotel Quarantine Abc News
www.abc.net.au

Https Www Preprints Org Manuscript 202009 0190 V1 Download

Queensland Government Qldgov Twitter
twitter.com

Coronavirus News Research And Analysis The Conversation Page 70
theconversation.com

Coronavirus Australia Live Updates Postcodes Where Virus Is Surging Despite Lockdown
www.news.com.au

Coronavirus Australia Map Shows Victoria Hotspots By Postcode Daily Mail Online
www.dailymail.co.uk

Tim Richardson Covid Update And Postcode Data We Facebook
www.facebook.com

Tableau Public
public.tableau.com

Coronavirus Australia Live News Victoria Announces 627 New Covid 19 Cases And Eight Deaths Sa Paramedic Tests Positive Abc News
www.abc.net.au

How Many Coronavirus Cases Are There In Your Postcode Newcastle Herald Newcastle Nsw
www.newcastleherald.com.au

Live Covid 19 Latest Updates April 21 Echonetdaily
www.echo.net.au

Is Australia Flattening The Coronavirus Curve Look At The Charts Australia News The Guardian
www.theguardian.com

Coronavirus Australia Live News Another 73 Vic Cases As Nsw Cracks Down Refuses Rejected Victoria Flights
www.theaustralian.com.au

Coronavirus Qld Women Who Failed To Self Isolate Identified The Courier Mail
www.couriermail.com.au

Covid 19 Pandemic In Australia Wikipedia
en.wikipedia.org

Australia S Second Largest City Orders 36 Suburbs Locked Down To Stop Virus Spike Reuters
www.reuters.com

Tableau Public
public.tableau.com

Coronavirus Data Victoria How Many Covid 19 Cases In Your Suburb And Postcode
www.9news.com.au

Coronavirus Cases Broken Down By Suburbs For Nsw And Victoria
au.news.yahoo.com

Qld Border Pass Declaration Form This Morning Do You Covid 19 Australia
www.reddit.com

Live Covid 19 Latest Updates April 21 Echonetdaily
www.echo.net.au

Https Www Covid19 Qld Gov Au Data Assets Pdf File 0014 132701 Covid Safe Event Checklist Pdf

Northern Tablelands Mp Adam Marshall Requests Queensland Premier To Reconsider Border Zone Goondiwindi Argus Goondiwindi Qld
www.goondiwindiargus.com.au

These 10 Postcodes Are Back In Stage 3 Coronavirus Lockdown Here S What That Means
theconversation.com

Coronavirus Australia Live Updates Postcodes Where Virus Is Surging Despite Lockdown
www.news.com.au

Ufcmzzz7micwym

Coronavirus Australia Live News Victoria Records 428 New Cases Doctors Push For Stage Four Lockdown Nsw Tightens Restrictions
www.theaustralian.com.au

Https Arxiv Org Pdf 2006 13364

School Attendance During A Pandemic Vox Cepr Policy Portal
voxeu.org

These 10 Postcodes Are Back In Stage 3 Coronavirus Lockdown Here S What That Means
theconversation.com

Three Data Driven Responses To Covid 19 Create
www.createdigital.org.au

How Can I View Places Affected By Covid 19 On Google Maps Why Is It Available To Select Users Only Google Maps Community
support.google.com

Nsw Coronavirus Database Tracks Cases Down Postcode By Postcode Projects Software Itnews
www.itnews.com.au

Coronavirus Nt Parts Of Qld Declared Hot Spots 33rd Covid 19 Case Recorded In Nt As Trio Investigated In Red Centre Nt News
www.ntnews.com.au

Coronavirus Australia Updates Live Coronavirus Updates Live Victoria Records 278 Covid 19 Cases 8 Deaths Nsw Has 12 New Cases New Zealand Cluster Grows To 13
www.smh.com.au

Coronavirus Qld Update March 24 House Call Doctor
housecalldoctor.com.au

Coronavirus Heat Maps Show Nsw Cases By Postcode
thenewdaily.com.au

Australia S Covid 19 Border Restrictions Where You Can Travel To And From Australia News The Guardian
www.theguardian.com

Daniel Andrews Announces 10 Postcodes Returning To Stage 3 Stay At Home Laws As It Happened World News The Guardian
www.theguardian.com

Abtd5velzundhm

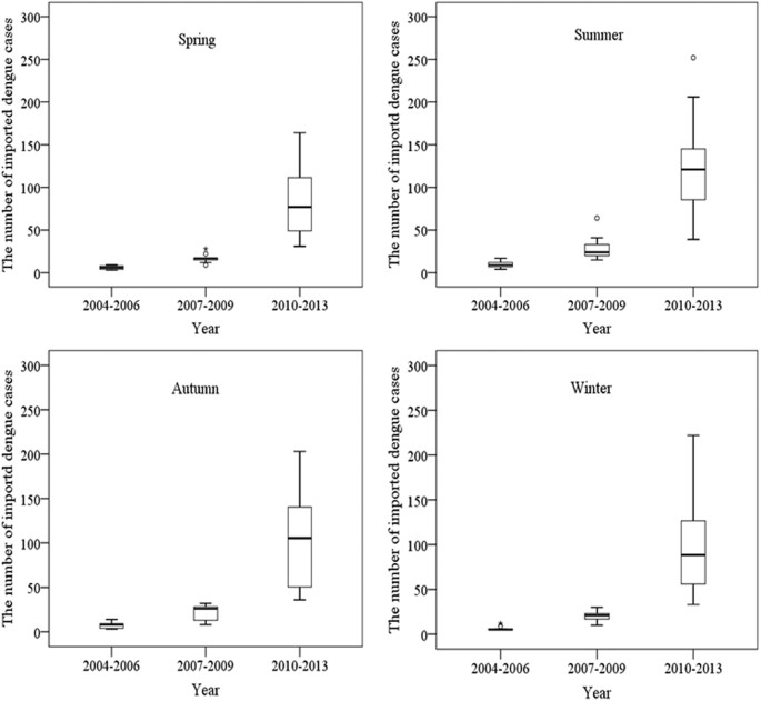
Dynamic Spatiotemporal Trends Of Imported Dengue Fever In Australia Scientific Reports
www.nature.com

Coronavirus Why Has Melbourne S Outbreak Worsened Bbc News
www.bbc.com

Warning On Role Of Housing Stress As 10 Melbourne Postcodes Locked Down To Stem Covid 19 Croakey
www.croakey.org

Coronavirus Postcode Search Nsw Health Releases Data On Infection Source 7news Com Au
7news.com.au

Coronavirus Australian App Snewpit Notifying Users Of Nearby Confirmed Cases Daily Telegraph
www.dailytelegraph.com.au

South East Queensland Suburbs At Higher Risk Of Covid 19 Gold Coast Bulletin
www.goldcoastbulletin.com.au

Coronavirus By Numbers Australia S Latest Covid 19 Stats Including Vic And Nsw Updates
www.9news.com.au

Coronavirus Australia News Victorian Premier Daniel Andrews Reimposes Lockdown In Covid 19 Hit Melbourne Suburbs Abc News
www.abc.net.au

Queensland Border Who And Where Can And Can T Echonetdaily
www.echo.net.au

Coronavirus Australia Live News Another 73 Vic Cases As Nsw Cracks Down Refuses Rejected Victoria Flights
www.theaustralian.com.au

Coronavirus Nt Parts Of Qld Declared Hot Spots 33rd Covid 19 Case Recorded In Nt As Trio Investigated In Red Centre Nt News
www.ntnews.com.au

Coronavirus Australia Postcodes That Have Been Hit Hardest Daily Mail Online
www.dailymail.co.uk

Https Encrypted Tbn0 Gstatic Com Images Q Tbn 3aand9gcrjih34ysjybns7est7k Rj4clxusjw5hz7tw Usqp Cau

Coronavirus Australia Postcodes That Have Been Hit Hardest Daily Mail Online
www.dailymail.co.uk

Victoria Records 77 New Coronavirus Cases And Jump In Community Transmission Of Covid 19 Abc News
www.abc.net.au

Map Shows Postcodes That Are Coronavirus Free Daily Examiner
www.dailyexaminer.com.au

How Many Virus Cases In Your Postcode Queensland Times
www.qt.com.au

Covid 19 Pandemic In Australia Wikipedia
en.wikipedia.org

How Many Covid Tests Are Being Done In Your Postcode Tweed Daily News
www.tweeddailynews.com.au

Nbn News Covid 19 Cases By Postcodes
www.nbnnews.com.au

Coronavirus Australia Live News David Littleproud Says States Must Find Solutions To Covid 19 Border Issues At National Cabinet Abc News
www.abc.net.au

Nsw Launches Heat Map Showing Active Covid 19 Cases By Postcode Software Itnews
www.itnews.com.au

Https Encrypted Tbn0 Gstatic Com Images Q Tbn 3aand9gctassc3eqh10yri6b6guwg0pshsc Gq09hemw Usqp Cau

Services Nsw App Tells You Coronavirus Cases In Your Postcode
au.finance.yahoo.com

Coronavirus Australia Postcodes That Have Been Hit Hardest Daily Mail Online
www.dailymail.co.uk

Tableau Public
public.tableau.com

Melbourne Victoria Coronavirus Map View Active Covid 19 Case Numbers In Your Suburb Or Postcode And See If There Are Any Large Outbreaks Or Clusters In Your Area
www.theage.com.au

Tupaia Supporting Covid 19 Responses Tupaia
info.tupaia.org

Postcode Data On Coronavirus Cases Reveals Victoria S Covid 19 Hotspots Abc News
www.abc.net.au

Covid 19 Heat Map For Virus Shows How Many People Tested In Each Nsw Postcode The Border Mail Wodonga Vic
www.bordermail.com.au

Harvesters Hope To Clear Queensland Covid Hurdle Grain Central
www.graincentral.com

These 10 Postcodes Are Back In Stage 3 Coronavirus Lockdown Here S What That Means
theconversation.com

Covid 19 Update Coronavirus Cases Nsw Postcode Search 7news Com Au
7news.com.au

Agmkihmhxm 6im

Is Jobkeeper Propping Up Your Postcode Chinchilla News
www.chinchillanews.com.au

Coronavirus Why Has Melbourne S Outbreak Worsened Bbc News
www.bbc.com

Tableau Public
public.tableau.com

Revealed Where Clarence Covid Cases Are By Postcode Queensland Times
www.qt.com.au

Victoria S Covid 19 Outbreak A National Problem Top Health Experts
www.1news.info

Harvesters Hope To Clear Queensland Covid Hurdle Grain Central
www.graincentral.com

Covid Map Australia Tracking New Cases Coronavirus Stats And Live Data By State Australia News The Guardian
www.theguardian.com

Victoria Lockdown Postcodes Coronavirus Cases Rising As More Suburb Restrictions Loom 7news Com Au
7news.com.au

Postcodes Hardest Hit By Covid 19 Fallout Queensland Times
www.qt.com.au

Heat Maps Reveals Number Of Coronavirus Tests Conducted In Young The Young Witness Young Nsw
www.youngwitness.com.au

Victoria Coronavirus Data Find The Number Of Active Covid 19 Cases In Your Postcode
www.theage.com.au

Coronavirus Melbourne Schools Childcare Closed South Australia Cancels Border Reopening Herald Sun
www.heraldsun.com.au

Coronavirus Victoria 73 New Covid 19 Cases Reported As 36 Melbourne Suburbs Return To Lockdown Coronavirus Outbreak The Guardian
www.theguardian.com

Fill Free Fillable Forms
fill.io

Lives Will Be Saved If Data About Covid 19 Virus Is Published
www.afr.com

Coronavirus Cases Broken Down By Suburbs For Nsw And Victoria
au.news.yahoo.com

Dynamic Spatiotemporal Trends Of Imported Dengue Fever In Australia Scientific Reports
www.nature.com

Live Covid 19 Latest Updates April 21 Echonetdaily
www.echo.net.au

Live Covid 19 Latest Updates April 21 Echonetdaily
www.echo.net.au

Coronavirus In Australia Melbourne Begins New Shutdown Bbc News
www.bbc.com

Dynamic Spatiotemporal Trends Of Imported Dengue Fever In Australia Scientific Reports
www.nature.com

How Many Coronavirus Cases Are There In Your Postcode Newcastle Herald Newcastle Nsw
www.newcastleherald.com.au

Coronavirus Qld Women Who Failed To Self Isolate Identified The Courier Mail
www.couriermail.com.au

Victoria Melbourne Coronavirus Postcode Data Find Out How Active Covid 19 Case Numbers Have Changed In Your Postcode Or Suburb Over The Past Week
www.theage.com.au

Victoria Coronavirus Cases In Each Postcode Could Be Released Instead Of Lga 7news Com Au
7news.com.au

close