Covid19

Rki Covid 19 Dashboard

12 Sites Tracking Covid 19 We Are All Data Analysts Reconinsight
www.reconinsight.com

Influence Of The Pandemic Dissemination Of Covid 19 On Radiotherapy Practice A Flash Survey In Germany Austria And Switzerland
journals.plos.org

Micb25 Github Io Dka
micb25.github.io

We Can Do Better Lessons Learned On Data Sharing In Covid 19 Pandemic Can Inform Future Outbreak Preparedness And Response Science Diplomacy
www.sciencediplomacy.org

Europe S Covid 19 Outliers German Austrian And Swiss Policy Responses During The Early Stages Of The 2020 Pandemic Sciencedirect
linkinghub.elsevier.com

Europe S Covid 19 Outliers German Austrian And Swiss Policy Responses During The Early Stages Of The 2020 Pandemic Sciencedirect
linkinghub.elsevier.com

Covid 19 Pandemic In Europe Wikipedia
en.wikipedia.org

Florida S Community Coronavirus Dashboard
experience.arcgis.com

12 Sites Tracking Covid 19 We Are All Data Analysts Reconinsight
www.reconinsight.com

12 Sites Tracking Covid 19 We Are All Data Analysts Reconinsight
www.reconinsight.com

Coronavirus Covid 19 Testing Statistics And Research Our World In Data
ourworldindata.org

Micb25 Github Io Dka
micb25.github.io

Coronavirus Covid 19 Geohub Iraq
coronavirus-covid-19-iraq-atlasgis.hub.arcgis.com

Coronavirus Covid 19 Testing Statistics And Research Our World In Data
ourworldindata.org

Influence Of The Pandemic Dissemination Of Covid 19 On Radiotherapy Practice A Flash Survey In Germany Austria And Switzerland
journals.plos.org

Allegheny County Expands Its Covid Dashboard To Include More Data On Race And Ethnicity News Break
www.newsbreak.com

Apis To Track Covid 19 Dataconomy
dataconomy.com

Mastering The Coronavirus Covid 19 Infineon Technologies
www.infineon.com

Projecting The Spread Of Covid 19 For Germany In German Economic Review Volume 21 Issue 2 2020
www.degruyter.com

Rki Covid 19 Covid 19
www.rki.de

Https Www Rki De De Content Infaz N Neuartiges Coronavirus Situationsberichte 2020 04 02 En Pdf Blob Publicationfile

Germany S Coronavirus Reproduction Rate Jumps To 1 79 Rki
news.yahoo.com

Https Www Rki De De Content Infaz N Neuartiges Coronavirus Situationsberichte 2020 03 31 En Pdf Blob Publicationfile

We Can Do Better Lessons Learned On Data Sharing In Covid 19 Pandemic Can Inform Future Outbreak Preparedness And Response Science Diplomacy
www.sciencediplomacy.org

Coronavirus Downloadable Malware Map App Clarification
www.esri.com

Covid 19 Among Fit Patients With Cll Treated With Venetoclax Based Combinations Leukemia
www.nature.com

Https Www Rki De De Content Infaz N Neuartiges Coronavirus Situationsberichte 2020 03 22 En Pdf Blob Publicationfile

Impact On The Economy Covid 19 Impacts On Real Estate Germany En
avison-young.foleon.com

Tableau Public
public.tableau.com

The Devil Is In The Definition Counting Covid19 Cases In Germany By Diana Schellenberg Medium
medium.com

Covid 19 Pandemic In Germany Wikipedia
en.wikipedia.org

Ob0 Wqwpkz2k6m

Ob0 Wqwpkz2k6m

A Multimethod Approach For County Scale Geospatial Analysis Of Emerging Infectious Diseases A Cross Sectional Case Study Of Covid 19 Incidence In Germany Springerlink
link.springer.com

Event Horizon Covid 19 Event Horizon Covid 19
rocs.hu-berlin.de

Ohio State Covid 19 Dashboard 80 Students 12 Faculty And Staff Have Tested Positive
www.thelantern.com

An Interactive Visualization Of The Covid 19 Development In Germany By Fabian Bosler Towards Data Science
towardsdatascience.com

Corona Prediction Telekom Supports Rki Deutsche Telekom
www.telekom.com

In The Face Of Pandemic Gis Users Around The World Respond
www.esri.com

12 Sites Tracking Covid 19 We Are All Data Analysts Reconinsight
www.reconinsight.com

Why Are Covid 19 Statistics So Different For Germany And Italy By Fabian Bosler Towards Data Science
towardsdatascience.com

Mobility And Covid 19 Teralytics
www.teralytics.net

Nuremberg Deutschland 30th Apr 2020 Total Number Of Covid 19 Traps And Death Traps In Munchen
www.alamy.com

Covid 19 Dashboard Robert Koch Institut Germany Download Scientific Diagram
www.researchgate.net

Coronavirus Covid 19 Testing Statistics And Research Our World In Data
ourworldindata.org

In The Face Of Pandemic Gis Users Around The World Respond
www.esri.com

Total Number Of Covid 19 Traps In Germany On April 30 2020 At 00 00 A M From Rki Dashboard Usage Worldwide Stock Photo Alamy
www.alamy.com

Coronavirus
www.spangdahlem.af.mil

10 Counties In Which The Corona Is At Its Raging Worst And 10 Which Are Hardly Affected Floreshealth
floreshealth.com

Micb25 Github Io Dka
micb25.github.io

Total Number Of Covid 19 Traps Per District In Germany On April 30th 2020 At 00 00 From Rki Dashboard With Graphic By Munchen Kreisfreie Stadt As Background Usage Worldwide Stock Photo Alamy
www.alamy.com

Ogawa Tadashi On Twitter Daily Coronavirus Disease Covid 2019 Situation Reports Who Https T Co Tz6bu9idt9 2020 03 01 03 23 Https T Co Neb2m1z2nm Mortality Rate Million General Europe S Korea Sg Japan Austraria Us Canada Mexico
twitter.com

Https Www Rki De De Content Infaz N Neuartiges Coronavirus Situationsberichte 2020 03 31 En Pdf Blob Publicationfile

Johns Hopkins Offers Live Interactive Map Of Global Coronavirus Cases Krqe News 13
www.krqe.com

Rki Covid19 Npgeo Corona
npgeo-corona-npgeo-de.hub.arcgis.com

Geoinformation Systems Provide Information On The Current Spread Of The Corona Virus Hft Stuttgart
www.hft-stuttgart.com

File Covid 19 Outbreak Cases In Germany Kreise Svg Wikimedia Commons
commons.wikimedia.org

In The Face Of Pandemic Gis Users Around The World Respond
www.esri.com

Saqx8t9wnkzmbm

Covid 19 Dashboard Robert Koch Institut Germany Download Scientific Diagram
www.researchgate.net

Corona Virus Do You Have Data And Analysis Ideas
www.researchgate.net

Covid 19 Pandemic In Europe Wikipedia
en.wikipedia.org

Covid 19 Case Count Trackers
pandemic.internationalsos.com

Pqalbq1fig62om

Apis To Track Covid 19 Dataconomy
dataconomy.com

Tableau Public
public.tableau.com

Covid 19 Resources
coronavirus-resources.esri.com

Https Www Ecdc Europa Eu Sites Default Files Documents Covid 19 Rapid Risk Assessment Coronavirus Disease 2019 Eighth Update 8 April 2020 Pdf

Covid 19 Case Count Trackers
pandemic.internationalsos.com

Projecting The Spread Of Covid 19 For Germany In German Economic Review Volume 21 Issue 2 2020
www.degruyter.com

Leoss Eu Covid 19 Sars Cov 2 Case Registry Healthmanagement Org
healthmanagement.org

An Interactive Visualization Of The Covid 19 Development In Germany By Fabian Bosler Towards Data Science
towardsdatascience.com

Https Www Medrxiv Org Content 10 1101 2020 03 26 20044214v1 Full Pdf

Covid 19 Sverige
covid19-esrisverige.hub.arcgis.com

Https Www Rki De De Content Infaz N Neuartiges Coronavirus Situationsberichte 2020 08 21 En Pdf Blob Publicationfile

Influence Of The Pandemic Dissemination Of Covid 19 On Radiotherapy Practice A Flash Survey In Germany Austria And Switzerland
journals.plos.org

In The Face Of Pandemic Gis Users Around The World Respond
www.esri.com

H5n1 Covid 19 Case Numbers In Germany And Worldwide
crofsblogs.typepad.com

An Interactive Visualization Of The Covid 19 Development In Germany By Fabian Bosler Towards Data Science
towardsdatascience.com

Coronavirus Resource Center Vistage
www.vistage.com

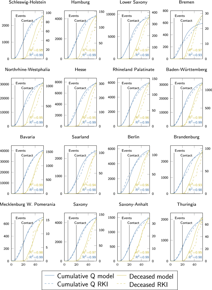
Memory Based Meso Scale Modeling Of Covid 19 Springerlink
link.springer.com

Saqx8t9wnkzmbm

Covid 19 Coronavirus Data Analytics Resource Hub Sas
www.sas.com

Coronavirus
www.spangdahlem.af.mil

Esriさんのツイート Covid19 Case Dashboards Have Been Created For Many Countries And Regions Visit The Esri Covid 19 Gis Hub To See Them Https T Co Htboopxq0f Coronavirus Https T Co Iofful0fk3
twitter.com

Corona Bulletin Entwicklung Der Freistaat Thuringen Facebook
es-la.facebook.com

Covid 19 Case Count Trackers
pandemic.internationalsos.com

Https Experience Arcgis Com Experience 478220a4c454480e823b17327b2bf1d4

Rki Stellt Karte Zu Corona Fallen Online Mdr De
www.mdr.de

Coronavirus Covid 19 Geohub Iraq
coronavirus-covid-19-iraq-atlasgis.hub.arcgis.com

Covid 19 It Is Time To Balance Infection Management And Person Centered Care To Maintain Mental Health Of People Living In German Nursing Homes International Psychogeriatrics Cambridge Core
www.cambridge.org

Memory Based Meso Scale Modeling Of Covid 19 Springerlink
link.springer.com

Population Level Covid 19 Mortality Risk For Non Elderly Individuals Overall And For Non Elderly Individuals Without Underlying Diseases In Pandemic Epicenters Sciencedirect
www.sciencedirect.com

We Can Do Better Lessons Learned On Data Sharing In Covid 19 Pandemic Can Inform Future Outbreak Preparedness And Response Science Diplomacy
www.sciencediplomacy.org

17 Or So Responsible Live Visualizations About The Coronavirus For You To Use Chartable
blog.datawrapper.de

Apis To Track Covid 19 Dataconomy
dataconomy.com

The Covid 19 Outbreak In Spain A Simple Dynamics Model Some Lessons And A Theoretical Framework For Control Response Sciencedirect
www.sciencedirect.com

Memory Based Meso Scale Modeling Of Covid 19 Springerlink
link.springer.com

Https Arxiv Org Pdf 2004 03937

Coronavirus Stats Covid 19 Dashboard Live Update Zoho Analytics
www.zoho.com

close