Covid19

When Corona Will End In World Prediction

This Is How Much The Coronavirus Will Cost The World S Economy According To The Un World Economic Forum
www.weforum.org

When Will Coronavirus End And Have We Reached The Peak In The Us Health Com
www.health.com

Global Stock Markets Could Predict Economic Future Post Covid 19
www.forbes.com

Prediction Consensus What The Experts See Coming In 2020
www.visualcapitalist.com

White House Models Predict Up To 240 000 Fatalities As It Happened Financial Times
www.ft.com

Book S Eerie Coronavirus Prediction Daily Examiner
www.dailyexaminer.com.au

End Of Days Was The 2020 Worldwide Coronavirus Outbreak Foretold By Sylvia Browne Books Hachette Australia
www.hachette.com.au

Little Boy Who Accurately Predicted Covid 19 Says It Will End On 29 May
thesmartlocal.com

When Will Coronavirus End In India And Across Globe Astrologers Prediction Deccan Herald
www.deccanherald.com

Phase Adjusted Estimation Of The Number Of Coronavirus Disease 2019 Cases In Wuhan China Cell Discovery
www.nature.com

Lack Of Data Makes Predicting Covid 19 S Spread Difficult But Models Are Still Vital
theconversation.com

This Book Predicted Coronavirus 12 Years Ago Said It Will Resurface In 2030
www.dnaindia.com

Coronavirus Brings A Plague Of Dangerous Doomsday Predictions
www.news4jax.com

Summary Of End Of Days Predictions And Prophecies About The End Of The World Kindle Edition By Readz Quick Religion Spirituality Kindle Ebooks Amazon Com
www.amazon.com

Coronavirus Will Change The World Permanently Here S How Politico
www.politico.com

Did Authors Dean Koontz And Sylvia Browne Really Predict Coronavirus Outbreak Back In 1981 And 2008
www.india.com

When Will Covid 19 End Data Driven Estimation Dates India News Times Of India
timesofindia.indiatimes.com

Covid 19 Pandemic Will End Soon Says Nobel Laureate Who Predicted China S Trajectory The Week
www.theweek.in

Winter Wave Of Coronavirus Could Be Worse Than First Bbc News
www.bbc.com

Did Psychic Sylvia Browne Predict The Coronavirus 12 Years Ago Silive Com
www.silive.com

Coronavirus These Books And Movies Predicted The Outbreak Of Deadly Coronavirus Years Ago Here S The Complete List Times Of India
m.timesofindia.com

A Lebanese Psychic Who Foresaw Coronavirus In 2019 Returns To
english.alaraby.co.uk

When Will Covid 19 End Answer From Data Driven Innovation Lab
www.ifia.com

Covid 19 S Future Small Outbreaks Monster Wave Or Ongoing Crisis Stat
www.statnews.com

How The Pandemic Might Play Out In 2021 And Beyond
www.nature.com

Prediction Consensus What The Experts See Coming In 2020
www.visualcapitalist.com

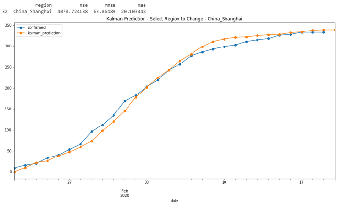
Using Kalman Filter To Predict Coronavirus Spread By Ran Kremer Towards Data Science
towardsdatascience.com

Who Is Abhigya Anand The Child Astrologer That Predicted The Coronavirus Pandemic As Com
en.as.com

Coronavirus Psychic Sylvia Browne S Other 2020 And End Of The World Predictions London Evening Standard
www.standard.co.uk

Coronavirus Models When Will The Pandemic End Why Predicting The Outbreak Is So Hard Vox
www.vox.com

Forecasting The Novel Coronavirus Covid 19
journals.plos.org

Coronavirus These Books And Movies Predicted The Outbreak Of Deadly Coronavirus Years Ago Here S The Complete List Times Of India
m.timesofindia.com

How Will The Covid 19 Pandemic End Los Angeles Times
www.latimes.com

Fact Check Did Nostradamus Predict Coronavirus Outbreak In 1551 Factly Youtube
www.youtube.com

Special Report The Simulations Driving The World S Response To Covid 19
www.nature.com

Coronavirus How Does The Covid 19 Outbreak End Vox
www.vox.com

Coronavirus Did You Know About These Predictions Deccan Herald
www.deccanherald.com

How Will The Covid 19 Pandemic End
scroll.in

Predictions And Role Of Interventions For Covid 19 Outbreak In India By Cov Ind 19 Study Group Medium
medium.com

How The Coronavirus Pandemic Will Change Travel As We Know It The Washington Post
www.washingtonpost.com

The Best Graphs And Data For Tracking The Coronavirus Pandemic The Verge
www.theverge.com

Nostradamus 2020 What Did Nostradamus Say About 2020 Did He Predict Coronavirus Weird News Express Co Uk
www.express.co.uk

Why Was The Coronavirus Hard To Predict Optimism Didn T Help The Atlantic
www.theatlantic.com

12 People Who Seemingly Predicted The Coronavirus Pandemic Business Insider
www.businessinsider.com

When Will Covid 19 End Data Driven Estimation Dates India News Times Of India
timesofindia.indiatimes.com

Where Did Coronavirus Originate Inside The Hunt To Find Out Time
time.com

Coronavirus Pandemic Likely To Last For Two Years Scientists Predict
www.cnbc.com

Coronavirus Predictions 11 Ways The Covid 19 Pandemic Will Change Us And The Economy Vox
www.vox.com

Coronavirus Researchers Using Ai To Predict Virus Spread Time
time.com

Coronavirus Predictions The Pandemic Is Bringing A Plague Of Dangerous Doomsday Warnings Cnn
www.cnn.com

Best Case And Worst Case Coronavirus Forecasts Are Very Far Apart Fivethirtyeight
fivethirtyeight.com

How Long Will The Coronavirus Pandemic Last World Economic Forum
www.weforum.org

Mit Study Predicts 2 87 Lakh Covid 19 Cases Per Day In India By 2021 End Why Is It Controversial The Week
www.theweek.in

How Will The Covid 19 Pandemic End
scroll.in

Covid 19 Will End In Georgia By June Study Says Georgianjournal
www.georgianjournal.ge

Superforecasters Are Making Accurate Predictions About Covid 19 Time
time.com

When Will Coronavirus End In India And Across Globe Astrologers Prediction Deccan Herald
www.deccanherald.com

Perhaps Nostradamus Predicted Coronavirus After All Kqed
www.kqed.org

Scientists Predict The Best Strategy For Lifting Covid 19 Lockdown
scitechdaily.com

When Will The Coronavirus Outbreak End Experts Give Predictions Bloomberg
www.bloomberg.com

When Will Covid 19 End Data Driven Estimation Dates India News Times Of India
timesofindia.indiatimes.com

Covid 19 Is Here Now How Long Will It Last Yale School Of Medicine
medicine.yale.edu

Coronavirus Fda Chief Refuses To Back Trump S Vaccine Prediction Bbc News
www.bbc.com

When Will Coronavirus Pandemic End Youtube
m.youtube.com

Coronavirus In Beijing When Will The Coronavirus Outbreak End Experts Give Predictions World News Times Of India
timesofindia.indiatimes.com

What 5 Coronavirus Models Say The Next Month Will Look Like The New York Times
www.nytimes.com

Opinion How Much Worse The Coronavirus Could Get In Charts The New York Times
www.nytimes.com

How Life In Cities Will Change Due To The Coronavirus Pandemic
foreignpolicy.com

Books Shows Films That Chillingly Predicted Coronavirus Pandemic From Big Bang Theory To Creepy K Drama Tv Hindustan Times
www.hindustantimes.com

When Will The Coronavirus Emergency End The Ddi Lab Study
www.thepatent.news

How To Slow Epidemics Like Covid 19 Washington Post
www.washingtonpost.com

The End Of The World Is Today Here S Why We Re Still Here Live Science
www.livescience.com

Late Psychic Predicted That Severe Illness Would Spread Globe In 2020 Insider
www.insider.com

Coronavirus Did Psychic Sylvia Browne Predict Covid 19 Prophecy Of Pneumonia In 2020 Weird News Express Co Uk
www.express.co.uk

We Predicted A Coronavirus Pandemic Here S What Policymakers Could Have Seen Coming Politico
www.politico.com

Nostradamus 2020 Three Predictions That Came True And Is Coronavirus The Fourth Weird News Express Co Uk
www.express.co.uk

9 Future Predictions For A Post Coronavirus World
www.forbes.com

Coronavirus Models When Will The Pandemic End Why Predicting The Outbreak Is So Hard Vox
www.vox.com

How Will The Coronavirus End The Atlantic
www.theatlantic.com

Will The Coronavirus Make Online Education Go Viral Times Higher Education The
www.timeshighereducation.com

Nostradamus Prediction Coronavirus In Prophecy Of Scourge And Plague In China Weird News Express Co Uk
www.express.co.uk

Coronavirus Did Psychic Sylvia Browne Predict Covid 19 Prophecy Of Pneumonia In 2020 Weird News Express Co Uk
www.express.co.uk

Sylvia Browne End Of Days Did The Psychic Predict Coronavirus Weird News Express Co Uk
www.express.co.uk

We Can T Go Back To Normal How Will Coronavirus Change The World World News The Guardian
www.theguardian.com

Propagation Analysis And Prediction Of The Covid 19 Sciencedirect
www.sciencedirect.com

How The Pandemic Might Play Out In 2021 And Beyond
www.nature.com

Propagation Analysis And Prediction Of The Covid 19 Sciencedirect
www.sciencedirect.com

Coronavirus Did Sylvia Browne Or Dean Koontz Predict Outbreak Daily Mail Online
www.dailymail.co.uk

Perhaps Nostradamus Predicted Coronavirus After All Kqed
www.kqed.org

This Book S Eerie Prediction Warned The World Of Coronavirus Outbreak Oneindia News
www.oneindia.com

What Comes After The Pandemic Predicting The World To Come Al Jazeera Center For Studies
studies.aljazeera.net

Coronavirus Uk Economy Could Be Among Worst Hit Of Leading Nations Says Oecd Bbc News
www.bbc.com

Coronavirus Is Bringing A Plague Of Dangerous Doomsday Predictions
www.mercurynews.com

The Coronavirus Pandemic Will Change The World Forever
foreignpolicy.com

Coronavirus Predictions The Pandemic Is Bringing A Plague Of Dangerous Doomsday Warnings Cnn
www.cnn.com

12 People Who Seemingly Predicted The Coronavirus Pandemic Business Insider
www.businessinsider.com

M8uncc66cfrjvm

When Will The Coronavirus Outbreak End Experts Give Predictions Bloomberg
www.bloomberg.com

Changeschool Covid 19 Why Following Experts And Leaders Who Depend On Them Can Be Wrong
changeschool.org

Did Self Described Psychic Sylvia Browne Predict The Coronavirus
www.snopes.com

close